概率论与数理统计-复习笔记
Part.1-概率论复习
1.1 测量空间和随机变量
族

- 空集在族内
- 任意A在族内,A的补集在族内
- 任意族内的suite的交集和并集还在族内
测度


- 空集测度为0⃣️
- 满足sigma可加性
概率空间

- 概率测度:全集测度为1的测度
- 概率空间:(全集,族,概率测度)
随机变量

- 从全集到概率的映射
1.2 离散实数随机变量
随机变量的法则

- 所有情况的和为1
期望

-
期望存在:求和 |k| * P(X=k) 收敛
-
定义: 求和k* P(X=k) = E(X)
-
有限离散随机变量总是有期望
-
==Théorème du transfert dans le cas discret==

P阶矩和方差

1.3 经典离散实变量
均匀分布

伯努利分布

二项分布

泊松分布

几何分布

1.4 条件概率 和 独立随机变量
条件概率

已知B的条件概率测度

全概率公式


独立事件判断公式

独立随机变量判断公式

- 独立随机变量的方差是线性的:

1.5 联合离散随机变量
联合分布

边缘分布

- 知道联合分布🉑️知边缘分布
- 知道边缘分布🙅🉑️知联合分布

条件概率的期望

- 首先要确定期望存在
- 联合分布的期望是关于其中一个变量的,也就是需要给出另一个变量的值
- 如果给出联合分布二维表格,那么要保证所有格子里的数之和=1
1.6 离散型随机变量的数列及收敛性
- converge presque surement
- convergence en loi
converge presque surement


- 评论:当n趋向于∞的时候,使得Xn收敛于X的元素的集合的测度 = 1, 我们就说它是确定收敛的。
- 允许存在不收敛的情况,但是不收敛的元素的集合的测度为0.
convergence en loi

- 这两个法则的分布在n趋向于∞的时候是相同的。
Part.2-马尔可夫链
2.1 定义和性质
随机矩阵

- 每个元素为正:每个元素表示概率
- 每行之和为1: 每行是一个概率测度的分布
随机矩阵的n次幂

- 先求矩阵的幂,再取元素
出发法则µ

- 出发法则表示的是:出发的时候,向各状态演变的概率的分布。
演变后的法则

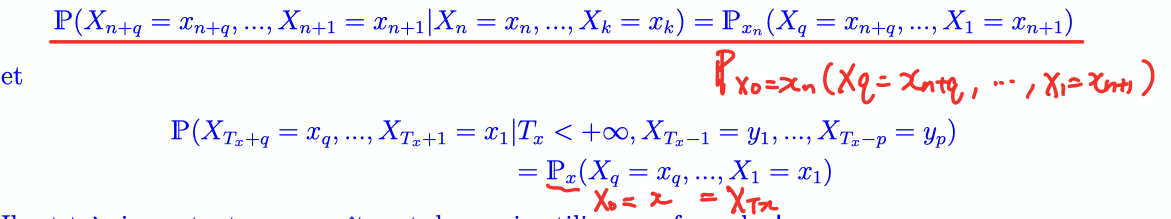
齐次马尔可夫链

- 齐次马尔可夫链:第n步的状态只取决于第n-1步的状态。
- P(i, j):从i状态演变1次到j状态的概率
- P^n(i, j):从i状态演变n次到j状态的概率
演变n次后的法则µn

- 演变n次之后,向各状态演变的概率的分布
齐次马尔可夫链的性质



- 齐次马尔可夫链满足贝叶斯公式,可以分布计算概率
- 理解演变的含义
- P^n(i, j):从i状态演变n次到j状态的概率
- 未来发生的事件只取决于当前的事件,可以用贝叶斯公式预测
- 齐次马尔可夫链是可以移动的,部分马尔可夫链也是一个马尔可夫链
2.2 状态的分类
2.2.1 Relation de communication

- 若x能通过有限次演变到达y状态,那么x->y
x <-> y要求x和y可以互通


- 从x出发经过0次演变一定到达x

- 双向箭头是一个等价关系
Classe de communication

- Classe de communication里的元素是两两互通的
- Irréductible:只有一个classe de communication,任意两点互通
- Fermé:不可以外出

2.2.2 第一次返回时间T

- 第一次返回x的所需要的演变次数

- 齐次马尔可夫链是可以移动的
从x出发的概率测度Px

- 可以视为:先移动到状态x,再进行演变

- Ga老师说这两个很有用,需要记住
2.2.3 Récurrence et transience

- Récurrent: 总是能够有限步就回到x
- Transitoire: 有可能会回不来
- Aborbant: 只能回到x
访问次数Nx

- 起点是不算在访问次数之内的

- 能访问无限次 等价于 x是循环态
- 不能访问无限次 等价于 x是过渡态

- 这个期望公式我无法直观理解,要记住
判断过渡态和循环态-实用方法

2.2.4 分类定理

- 若x是一个循环态,y在x的循环路径上,则y也是循环态,x与y互通

-
这说明:一个class de communication的所有状态是一类的
-
我们只需要判断其中一个状态的类型,就可以确定这个class的类型

- 这个定理告诉我们,我们可以把所有的状态分成若干个class de communication,每个class中的所有状态都是一个类型的

- 这个定义告诉我们,class的类型和其中的状态类型一致

-
这个定理告诉我们如何去方便地判断一个class的类型
-
有限个状态,非常重要
-
若一个class是封闭的,且包含有限个状态,则它是循环class,反之亦然
-
若一个class是开放的,则它是过渡class,反之亦然
-
若一个马尔可夫链包含有限个状态,则至少存在一个循环class
2.2.5 吸收概率-Probabilité d’absorption

我们假设:
-
存在一个有限的过渡class
-
存在一个循环class(::只要是有限过渡态,就一定有一个循环class::)
-
Pc(x)表示从x出发,能被C这个循环class吸走的概率
2.3 不变测度-Mesure invariante

假设:马尔可夫链有有限或可列个状态
2.3.1 定义

- 经过一次演变,到达每个状态的概率的分布是不变的
- ::µ表示的是:当前状态到达每个状态的概率的分布::

- 若最后不会停在x状态,那么一开始也不会进入x状态

- 若马尔可夫链所有的状态都是过渡态,那么不存在一个不变测度
- 因为不可能任意x的测度都是0,这样测度的和就不是1了
2.3.2 不变测度的存在性和唯一性
::我们从此之后假设马尔可夫链至少有一个循环态::

- 这个定理告诉我们,::若马尔可夫链有一个循环态,那么一定存在一个不变测度::
- µ(y)的含义是:从x出发,平均走几步到达y
- 求不变测度还是要用定义:µP = µ

- 一般来说,这个不变测度是不唯一的,它是可以乘一个常数的,因为这里是测度,而不是概率测度
- 我们关心的是,不管乘常数后的测度,这个不变测度是否唯一

我们定义了循环马尔可夫链:
- 只有一个通讯class
- 这个class是循环的

- 对于一个::有限::的马尔可夫链,::它是irréductible 等价于 它是循环的::

- 这个定理告诉我们:对于一个循环的马尔可夫链,一定存在一个唯一的不变测度(🉑️乘常数)
- 由此我们可以进一步得到,它一定有一个唯一的概率测度

- µi(y)的含义,从xi出发,平均走多少步到达y

- 我们可以由此判断1个状态x是不是在循环class Ri中
- 例子

- 3⃣️4⃣️两个状态不在第一个class中,所以第一个测度的3、4个位置是0⃣️
- 1⃣️2⃣️两个状态不在第二个class中,所以第二个测度的1、2个位置是0⃣️